1. National Institute of Oceanography and Fisheries, Egypt
2. Faculty of Science, Port Said University, Egypt

Author

Correspondence author
International Journal of Marine Science, 2014, Vol. 4, No. 31 doi: 10.5376/ijms.2014.04.0031
Received: 17 Feb., 2014 Accepted: 15 Apr., 2014 Published: 11 Jun., 2014
Age determination and growth modeling are critical aspects needed to assess different fish stocks (Hilborn & Walters, 1992; Dwyer et al., 2003). Assessment of age and growth is also essential for estimating the biological and physiological aspects of fishes such as stock age structure, age-at-50% maturity, yield- per-recruit and adaptation of stock to changes in habitat, exploitation and productivity (Morales-Nin, 1992; Francis et al., 1998 & 2000; Campana, 2001; Welcomme, 2001; Robinson & Motta, 2002; Kanyerere, 2003; Sulikowski et al., 2007; Simon and Mazlan, 2010). Also, understanding the life history of fishes is fundamental for the scientific protection of fish species and the sustainable use of natural fishery resources (Jia and Chen 2011; Mehanna, 2013).
The Egyptian Red Sea sector comprises a shoreline of about 1080 km from Suez in the north to Mersa Halayab in the south (Mehanna, 1996 & 2011). There are several fishing grounds along the Egyptian sector of the Red Sea, with a mean annual catch of about 30 thousand ton (Mehanna, 2005).
Parrot fishes are a group of fishes that have been traditionally considered a family (Scaridae), but now they are often considered a subfamily (Scarinae) within the family Labridae (Bellwood and Schultz, 1991; Choat, et al., 1996 & 2003). Scarids are all marine species, found in relatively shallow tropical and subtropical oceans throughout the world, but with the largest species richness in the Indo-Pacific. There are about 18 species in the Red Sea (Zootaxa, 2010), living in the coral reefs, rocky coasts and seagrass beds, and they play a significant role in the bioerosion (Bellwood, 1994&1996; Streelman et al., 2002; Bellwood et al., 2003; Smith et al., 2008). Despite of the economic importance of scarids, there are no studies dealing with their biology and population dynamics in the Egyptian Red Sea. The present paper is the first to provide growth data of the most common scarid species in the Egyptian Red Sea sector, Hurgada fishing area (Hipposcarus harid and Chlorurus sordidus) which could serve as a guide for their future management.
1 Material and Methods
1.1 Study area
The Hurgada city (Figure 1) lies at the northern part of the Red Sea proper between latitudes 27°10' N- 27°33' N and longitudes 33°70' E – 33°85' E. Hurgada is considered as one of the productive fishing grounds along the Egyptian coasts of Red Sea.
.png)
Figure 1 Egyptian Red Sea map showing the study area
|
1.2 Collection of samples
Parrotfish samples were collected monthly from the commercial landings of gill and trammel nets at Hurgada fishing harbor in the city of Hurgada during two fishing seasons 2012-2013. The nets used consist of one layer in gill nets and three layers in trammel nets, the first and third layers have wide holes while the second (middle) one with narrow openings. The net length ranged from 60 to 100 m with mesh size of 2 – ¼ ST.
1.3 Biological measurements
The samples of the two parrotfish species were separated by sex based on the external color features and the following measurements were taken:
Total length “TL” (to the nearest 0.1 cm) from the anterior tip of the snout to the end of the pinched caudal fin.
Total body weight “W” to the nearest 0.01 g.
Sex: Each subsample was dissected to be sure about the sex; the sex determination was based on the presence of two Nidamental glands and accessory in females and their absence in males.
1.4 Age determination
Scales were taken from all specimens collected during the sampling procedure, cleaned, mounted between two glass slides and used for age determination. The total radius of the scale (R) and the radius of each annulus were measured to the nearest 0.01 mm. Regression analyses of the scale radius - total length was done using the method of least squares. The TL-R relationship was described by the equation TL = a + bR, where L is the total length, R is the scale radius, a is the intercept and b is the slope.
The back-calculated length, i.e., the body length at a specific age estimated by back-calculation rather than by measurement (Francis 1990), was examined to estimate the total length at age using the Fraser-Lee equation (Duncan 1980): Ln = a + (L - a) Rn/R where Ln is the length at the formation of the nth annulus, a is the intercept in the L-R linear function, and Rn is the scale radius of the nth annulus.
1.5 Length-weight relationship
To estimate the relationship between the total length (TL) and the total weight (W), the variables were log-transformed to meet the assumptions of normality and homogeneous variance. A linear version of the power function: W = a Lb was fitted to the data. Confidence intervals (CI) were calculated for the slope to see if it was statistically different from 3.
1.6 Growth
Growth curves were fitted to the back-calculated data using the von Bertalanffy (1938) growth function (VBGF) (Chen et al., 1992):
Lt = L∞ (1 - e-K (t - t0)), where Lt is the predicted length at age t, L∞ is the mean theoretical maximum length, K is the Brody’s growth coefficient, and t0 is the theoretical age at 0 length.
The von Bertalanffy growth parameters (K and L∞) were estimated using the Ford- Walford method. While t0 was estimated from the following rearranged formula of the von Bertalanffy equation:
- ln [1 - (Lt/L∞)] = - Kt0 + Kt
2 Results and Discussion
2.1 Age composition
Scales (Figure 2) were used for age determination of H. harid and C. sordidus from Hurgada fishing area. Scales as a reliable and valid method for ageing these species have been proven. Body length – scale radius relationship (Figure 3) showed a strong correlation between the body length and scale radius. Also, the increase of fish size is accompanied by an increase in the number of annuli on the scales. On the other hand, back-calculated lengths are accord with the observed lengths for the different age groups.
.png)
Figure 2 Scales of Hipposcarus harid (TL 35 cm; age 4 yrs) and Chlorurus sordidus (TL 29 cm age 4 yrs)
|
.png)
Figure 3 Body lengths – scale radius relationship of Hippo- scarus harid and Chlorurs sordidus from Hurgada
|
Based on the number of annuli on the scales, the oldest individuals were 8 and 5 years old for H. harid and C. sordidus respectively (Figure 4). It is found that the age group two was the most dominant age group for H. harid forming 34.7 % of the total collected samples, while for C. sordidus the fourth age group was the most frequent one representing 45.6 % of the total catch. The other age groups were represented by relatively very low percentage for both species. Age readings indicated that the both species attain their highest growth rate in length during the first year of life, after which a gradual decrease in growth increment was observed with further increase in age (Figure 5).
.png)
Figure 4 Age composition ofHipposcarus harid and Chlorurs sordidus from Hurgada
|
.png)
Figure 5 Growth in length and growth increment ofHipposcarus harid and Chlorurs sordidus
|
2.2 Total length–scale radius relationship
The TL-R relationship for both H. harid and C. sordidus was found to be linear (Figure 3) and represented by the following equations:
H. harid: L = 2.6019 R + 1.8501 (r2 = 0.94, n = 1000)
C. sordidus: L = 1.1463 R + 9.2601 (r2 = 0.92, n = 700).
2.3 Length – weight relationship and growth in weight
The length and weight measurements of 1000 specimens of H. harid and 700 specimens of C. sordidus were used for the estimation of length weight relationship. H. harid varied in total length from 17 to 50 cm and in weight from 70 and 2100 g, while C. sordidus ranged between 16 and 33.5 cm in total length and between 60 and 710 g in weight. The estimated length - weight equations for the investigated species (Figure 6) are:
.png)
Figure 6 Length – Weight Relationship ofHipposcarus harid and Chlorurs sordidus
|
H. harid: W= 0.0182 L2.9323
C. sordidus: W= 0.0182 L3.0169
The b-value not significantly different from 3, so those species are grown isometrically.
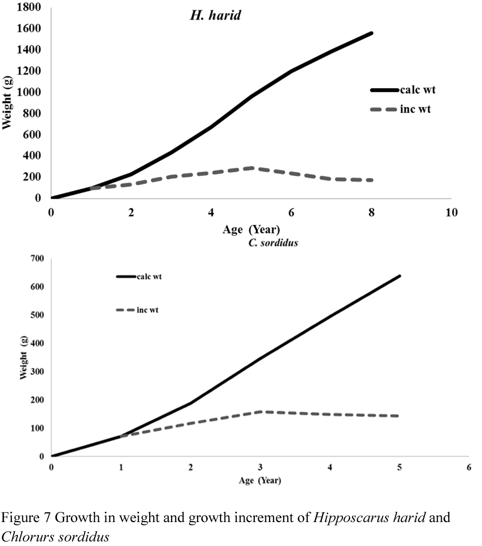
The weights corresponding to various age groups for the two investigated species were calculated by applying the corresponding length weight relationship to the estimated lengths. The growth rate in weight was much slower during the first year of life increasing to reach its maximum at the end of the fifth year of life for H.harid and the third year of life for C. sordidus then decreasing with further increasing in age (Figure 7).
.png)
Figure 7 Growth in weight and growth increment ofHipposcarus harid and Chlorurs sordidus
|
2.4 Growth parameters
The estimated von Bertalanffy growth parameters (L∞, K and to) were as follows:
H. harid
For growth in length: Lt = 57.16 (1 - e -0.23 (t +0.69))
For growth in weight: Wt = 2585 (1 - e -0.23 (t +0.69))2.9323
C. sordidus
For growth in length: Lt = 40.27 (1 - e -0.28 (t +0.17))
For growth in weight: Wt = 1265 (1 - e -0.28 (t +0.17))3.0169
The only study dealing with the growth parameters of those species is that of Ali et al. (2011) who gave L∞ = 43.92 and 23.3 cm; K = 0.067 and 0.56 per year; t0 = −6.92 and −4.6 year, for H. harid and C. sordidus, respectively from the Red Sea, Saudi Arabia. This difference may be due to the difference in specimens maximum size or their samples not representative sample as H. harid K value was too low for a species has L∞ = 43.9 cm.
Ali T.E., Osman A.M., Abdel-Aziz S.H., and Bawazeer F.A., 2011, Growth and longevity of the protogynous parrotfish, Hipposcarus harid, Scarus ferrugineus and Chlorurus sordidus (Teleostei, Scaridae), off the eastern coast of the Red Sea. Journal of Applied Ichthyology, 27 (3): 840–846
Bellwood D.R., 1996, Production and reworking of sediment by parrotfishes (family Scaridae) on the Great Barrier Reef, Australia. Mar. Biol. 125: 795-800
http://dx.doi.org/10.1007/BF00349262
Bellwood D.R. and Schultz O., 1991. A review of the fossil record of the parrotfishes (Labroidei: Scaridae) with a description of a new Calotomus species from the Middle Miocene (Badenian) of Austria. Ann. Naturhist. Mus. Wien 92/A: 55-71.
Bertalanffy L. von, 1938. A quantitative theory of organic growth (Inquiries on growth Laws. 2). Hum. Biol., 10: 181-213.Chen, L. S., 2002. Post-settlement diet shift of Chlorurus sordidus and Scarus schlegeli (Pisces: Scaridae). Zoological Studies 41: 47-58.
Chen L.S., 2002, Post-settlement diet shift of Chlorurus sordidus and Scarus schlegeli (Pisces: Scaridae). Zoological Studies 41: 47-58
Chen Y., Jackson D.A., and Harvey H.H., 1992. A comparison of von Bertalanffy and polynomial functions in modeling fish growth data. Can. J. Fish. Aquat. Sci. 49: 1228-1235
http://dx.doi.org/10.1139/f92-138
Chen Y.Y., 1998. Fauna Sinica, Osteichthyes, Cypriniformes (Middle volume). Beijing: Science Press. (in Chinese)
Chen Y.Y., 2005. Giving promotions to integrated management of river basins and protecting the life river of the Yangtze. China Water Resources 8: 10-12. (in Chinese)
Choat J.H., Robertson D.R., Ackerman J.L. and Posada J.M., 2003. An age-based demographic analysis of the Caribbean stoplight parrotfish Sparisoma viride. Mar. Ecol. Prog. Ser. 246: 265-277.
Dwyer P., Smith G., Tyler, D. and Wyn J., 2003. Life-Patterns, Career Outcomes and Adult Choices, Youth Research Centre Research Report 23, Melbourne
Jia Y.T. and Chen Y.F., 2011. Age structure and growth characteristics of the endemic fish Oxygymnocypris stewartii (Cypriniformes: Cyprinidae: Schizothoracinae) in the Yarlung Tsangpo River, Tibet. Zool. Stud. 50: 69-75
Kanyerere G.Z., 2003, Age, growth and yield per recruit analysis of Ndunduma - Diplataxodon limnathrissa (Teleostei: Cichlidae) in the Southeast arm of Lake Malawi. M.Sc. Thesis. Rhodes University Grahamstown, South Africa
Mehanna S. F., 1996. The study of biology and population dynamics of Lethrinus mahsena in the Gulf of Suez. PhD Thesis, Faculty of Science, Zoology Department, Zagazig University
Mehanna S. F., 2005. Population dynamics of the areolate grouper Epinephelus areolatus from the Egyptian sector of Red Sea. 12th International Conference of Union of Arab Biologists, El-Hodeida University, Yemen, November, 2005
Mehanna S. F., 2011. Population dynamics and management of snubnose emperor Lethrinus bungus (L. borbonicus) from the Foul Bay, Red Sea. INOC-XI International Symposium 2011, Bogor, Indonesia: 121-129
Mehanna S. F., 2013. Sustainable development of Bardawil lagoon fisheries. First Regional Symposium on Sustainable Small-Scale Fisheries 27 – 30 November 2013, St. Julian’s Malta
Morales-Ni B., 1992. Determination of growth in bony fishes from otolith microstructure. FAO Fish. Tech. Paper 322
Robinson M. P. and Motta P.J., 2002. Patterns of growth and the effects of scale on the feeding kinematics of the nurse shark (Ginglymostoma cirratum). J. Zool. Lond., 256:449–462
http://dx.doi.org/10.1017/S0952836902000493
Smith L. L., Fessler J. L., Alfaro M.E., Streelman J.T. and Westneat M.W., 2008. Phylogenetic relationships and the evolution of regulatory gene sequences in the parrotfishes. Molecular Phylogenetics and Evolution 49: 136-152
http://dx.doi.org/10.1016/j.ympev.2008.06.008
Sulikowski J. A., Irvine S. B., DeValerio K. C. and Carlson J. K., 2007. Age, growth and maturity of the roundel skate, Raja texana, from the Gulf of Mexico, USA. Marine and Freshwater Research 58, 41–53
http://dx.doi.org/10.1071/MF06048
Welcomme R.L., 2001. Inland fisheries: ecology and management. Fishing News Books, Blackwell Science Ltd. pp. 358
http://dx.doi.org/10.1002/9780470995693