Natural fish mortality is often caused by several factors such as aging, sporadic diseases and genetic deformity among populations which involves individual fish at any age and often not easily recognizable. However, in events of mass mortality of fish, large number of individuals suddenly die off at the same time in a localized area that a passersby can easily spot (Meyer and Barclay, 1990; Lugg, 2000). Such mass fish kills are often caused by factors other than those which cause natural mortality. Mass fish kill sporadically occurs in many water bodies around the globe. For instance several fish kill outbreaks occurred in 2005 in which three peaks of mortality at an interval of one month were recorded in Northern Europe (Castro et al, 2006). Similar evidence of mass fish kill has also been reported recently from Lake Hayq in northern Ethiopia (Fetahi et al, 2011).
Nevertheless, mass fish mortality cases are often not sufficiently investigated in developing countries like Ethiopia due to technical difficulties associated with parameters that cannot be controlled during the events. Results are often not conclusive and in most cases multiple factors are responsible for mass mortalities (La and Cooke, 2011). Seldom, sudden mass fish kills are associated with single traceable causes such as pollution of aquatic environments with toxic substances from industries (Abdelaziz, 2010), high fluxes of volcanic gases such as CO2 andH2S from the hypolimnion of crater lakes (Kling, 1988; Löhr et al, 2005), decays of toxic algal bloom (Challappa et al, 2008) and hypoxia caused by eutrophication and nutrient resuspension from the sediment (Wetzel, 2001). Virulent bacterial strains of the motile Aeromonas sp., Edwardsiella sp. and Flexibactor columnaris are also known to cause significant mortalities both in culture and wild populations of warm water species (Amin et al, 1988; Mohanty and Sahoo, 2007). A number of other factors such as bacterial, fungal and parasitic disease outbreaks have also been associated with mass mortalities (Al-Dughaym, 2000; Mohanty and Sahoo, 2007; Abowei and Briyai, 2011) though factors such as water temperature, unionized ammonia content and the associated chemical parameters may take precedence (Plumb, 1997). Nevertheless, Nile tilapias are known to tolerate a wide range of environmental conditions: water temperatures between16 to 40oC, though prolonged extreme temperatures cause stress induced diseases and mortalities (Uhland et al, 2000);tolerates a salinity of up to 15 mg L-1 (Popma and Lovshin, 1996; El-Said, 2006) and survive under very low dissolved oxygen levels (e.g. 0.5 mg L-1) for short duration and a pH range of 5 to 10 (Popma and Lovshin, 1996). Nile tilapia (Oreochromis niloticus, Linnaeus), tilapia zilli (Tilapia zilli, Gervais) and African cat fish (Clarias gariepenis, Burchell) were stocked into lakes Babogaya, Hora-Arsedi, Kuriftu and Bishoftu in the late 1960s in an attempt to establish pelagic fishery and increase availability of protein for the local community.
Limnological studies on these crater lakes, a group of volcanic explosion craters in the vicinity of the emerging city Debre-Zeit located around 45 km southeast of Addis Ababa have been conducted by several authors (Wood et al, 1965; Prosser et al, 1968; Tefera, 1990, Teshome, 2011). According to these studies, prolonged thermal stratification occurs between January and October, while complete mixing of the lakes occurs once a year between mid-November and December which coincides with the cold–dry period around Bishoftu town (Prosser et al, 1968; Teshome, 2011). Subsequently, nutrient upwelling during complete mixing causes oxygen depletion throughout the water column as dissolved oxygen is consumed during aerobic breakdown of reduced compounds such as hydrogen sulfide by microorganisms (Wetzel, 2001). Recently, Teshome (2011) has also noted similar evidence, whereby low dissolved oxygen concentration (0.06 mg L-1) at surface water in Lake Hora-Arsedi was recorded following Lake turnover in November 2010. During such events, tilapia exhibit gasping behavior at the surface exposing themselves to excessive fishing and predation by birds. But mortality occurs seldom and only at moderate level, possibly when the anoxic condition persists for several days. The lakes have well established pelagic fishery and health breeding populations of O. niloticus for more than five decades and support a number of subsistence fisheries where catches are marketed mainly within the Bishoftu town.
The recent tragic episode of mass fish mortality in the Bishoftu lakes involves only O. niloticus populations (fingerling, juveniles and adults) in these lakes in a week time intervals with the first sign of mortality spotted in Lake Babogaya on 11th May of 2013. The event has drawn greater public attention and has halted fisheries operation at the time. Therefore, the objective of this investigation is to provide a plausible explanation to the recent selective mass fish mortality of O. niloticus in lakes Babogaya and Hora-Arsedi.
Materials and Method
Study area
The adjacent lakes Babogaya and Hora-Arsedi (N 8o47’6”; E 38o59’40’’and N 8o45’42’’; E 38o59’39’’) are deep crater lakes formed as a result of volcanic eruption and located in the vicinity of the emerging Bishoftu Town, some 45 km southeast of Addis Ababa. The lakes have a closed basin with no surface inlet and outlet. It receives water primarily from rainfall and some ephemeral springs (Mohr, 1961). The region is characterized by sub-humid climate with an annual rainfall of around 905 mm with the main rainy season extending from June to September (National Meteorological Service Agency of Ethiopia), and diel air temperature varies from 25.6 oC to 27.7 oC during the day time and falls below 6.1 oC in the night in November (Figure 1).
|
.png)
Figure 1 Map showing location of three Bishoftu crater lakes in the vicinity of Bishoftu town (star showing the location of lakes Babogaya and Hora-Arsedi)
|
Visual assessment of mass mortality
The first incidence was reported by the local fishermen from Lake Babogaya on the 10th of April 2013, whilst on 17th of April 2013 similar tragic incident was reported in the adjacent lakes Hora-Arsedi and a week later in L. Kuriftu. It was observed that the extent of fish mortalities in these lakes fulfills the criterion for mass fish kill according to the existing standard definitions (NCDWQ, 2000; La and Cooke, 2011).
Field sampling and analyses
The investigation included some limnological parameters, clinical, histopathological and bacteriological examinations of live but affected fish samples. Data on physico–chemical variables such as water temperature, dissolved oxygen (DO), conductivity (corrected to 25 oC) and pH were measured in–situ using a multi-probe (Model HQ40D, HACH Instruments). Water for nutrient analysis was collected from depth profiles (surface, 1, 2, 5, 7, 10, 15, 20, 30, 40, 50, 60, 62 m depth) using a 5 L Schindler sampler. Samples were transferred to 2 L acid–prewashed plastic bottles and transported to the laboratory, stored in dark cooling boxes. The samples were subsequently filtered within 4 h of sampling through glass fibre filters (Whatman GF/C) paper and the filtrate was used for nutrient analyses, which were done within 48 h of sample collection following the standard methods (APHA, 1998). Samples for estimation of the relative abundance of phyto- and zoo-plankton were collected with a plankton net (40 µm mesh size). Phytoplankton taxa were enumerated and identified under a microscope using keys of Whitford and Schumacher (1973), Popovsky and Pfiester (1990), and Komarek and Anagnostidis (2005), while Zooplankton was enumerated and identified down to species level under a WILD stereoscope microscope (magnification 40x) using keys of Defaye (1988), Korovchinsky (1992) and Fernando (2002). Fish samples were collected according to the safety and aseptic handling procedures for diseased fish (Meyer and Barclay, 1990). Post-mortem and live fish histopathological and bacteriological examinations were carried out on four tissues samples derived from the heart, brain, liver and kidney at the National Animal Health Diagnostic and Investigation Center (NAHDIC). Live fish were also examined for clinical symptoms. Aseptic techniques have been employed for bacteriological and parasitological examination using appropriate bacterial culture and isolation media. Inoculums were taken from live fish demonstrating clinical symptoms in the form of skin lesion and injured gills.
Results
Physicochemical parameters
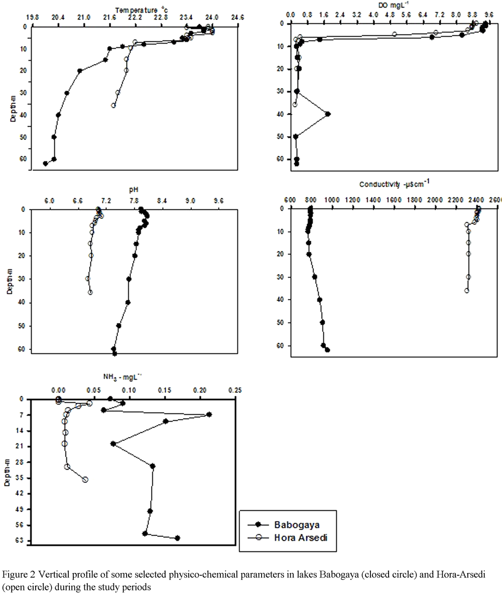
Both lakes were characterised by medium to higher water transparencies, with secchi depths in Hora-Arsedi never exceeding 1.35 m and in Babogaya 3.05 m, respectively. The mean water temperatures generally exceeded 20 °C. Vertical gradients in water temperature revealed that lakes Babogaya and Hora-Arsedi were stratified during the mortality incident with well-defined thermocline between 6 and 10 m depth in Babogaya and between 3 and 6 m in L. Hora-Arsedi (Figure 2). The mean DO concentrations were 4.14 ± 1.09 mg L−1 (SE) and 3.44 ± 0.98 mg L−1 (SE) for Babogaya and Hora-Arsedi, respectively. The surface water was well oxygenated in both lakes with DO concentrations up to 9.4 mg L-1 and 9.0 mg L-1 in Babogaya and Hora–Arsedi, respectively (Figure 2), however the hypolimnion was anoxic in both lakes. DO levels of 8.9 and 7.1 mg L-1 was measured early in the morning at 06:00 A.M in Babogaya and Hora–Arsedi, respectively (Table 1). The pH value ranged between 7.3 and 8.1 in both lakes. The specific conductivity ranged from 768 to 951μS cm−1 in Babogaya and 2420 to 2310μS cm−1 in Lake Hora-Arsedi (Figure2). Mean unionized ammonia which was derived from the total ammonium content (TAN) were 2.1 and 0.1 mg L-1 in Babogaya and Hora-Arsedi, respectively (Figure 2). The mean TAN values were 6.50 ±1.64 mg L-1 (SE) and 0.039 ± 0.01 mg L-1 (SE) in Babogaya and Hora-Arsedi, respectively.
|
.png)
Table 1 Some physico-chemical measurements (mean ± SE) taken early in the morning at near shore and open water sites of Lakes Babogaya and Hora-Arsedi. Note: sulfide values are only for bottom-sediment samples
|
|
.png)
Figure 2 Vertical profile of some selected physico-chemical parameters in lakes Babogaya (closed circle) and Hora-Arsedi (open circle) during the study periods
|
Planktonic examination
Five phytoplankton groups were identified during the sampling period including Cyanobacteria, Bacillariophyta, Dinophytes, Euglenophytes, and Chlorophytes. The Cyanophyta microcystis aeruginosa dominated the phytoplankton community in both lakes along with Anabaenna sp., Pseudoanabaenopsis sp., Oscillatoria sp. and Aphanocapsa sp. The rest were represented by one species indicating very low phytoplankton diversity particularly in Babogaya (Table 2).
|
.png)
Table 2 A checklist of phyto- and zoo-plankton in lakes Babogaya and Hora-Arsedi during the sampling period. Categories: 1-sporadic, 2-rare, 3-frequent, 4-very frequent, 5-copious
|
Zooplankton from lakes Babogaya and Hora-Arsedi included a total of 11 taxa of which 8 belonged to rotifers and 3 crustacean taxa (Table 2). Rotifers were found to be the most abundant group in Babogaya, and copepods co-dominated in Hora-Arsedi. There were no common species identified in both lakes. The genus Brachionus from rotifers and Mesocyclops sp. from copepods were the dominant taxa while the cladocerans were only represented by Cerodaphnia cornussa.
Histopathological and bacteriological examinations
All the clinical examination: visual observation and history, gross histopathological and bacteriological examinations suggested bacterial and parasitic infection and hepatotoxicity (Figure 3). Parasites were also isolated from the liver, and from the bacterial culture, Aeromonas sp. and Plesimonas shigelloides were identified.
|
.png)
Figure 3 Gross clinical symptom of mass mortality (a) and lesion (b as indicated by the arrow) during the event of mass fish kill in lakes Babogaya and Hora-Arsedi
|
Discussion
The vertical temperature profile for both crater lakes revealed that the lakes are stratified, which is in accordance with several previous studies during this particular period of the year (Prosser et al, 1968; Baxter and Wood, 1965; Teshome, 2011). The clinograde dissolved oxygen profile indicated oxygen depletion in greater depths, with saturation values constantly lower than 7% below 5 m in Hora and 8.5 % below 7 m in Babogaya (Figure2), which is usual for eutrophic systems (Talling and Lemoalle, 1998). Such DO profiles have been also noted from other explosion crater lakes located in Cameroon, Uganda, Nepal and the United States (Melack, 1978; Kling, 1988; Sharma, 2012; Degefu et al, 2014a) and usually reflect extended stratification and high biological oxygen demand (BOD) by decomposition of sinking labile organic matter and respiration of organisms in deeper waters (Baxter et al, 1965; Löffler, 1972; Kebede and Belay, 1994; Haberyan et al, 1995). Consequently, sulfide content which was below the detection limit throughout the water column reached 8 mg L-1 at the bottom and at least during complete mixing, which lead to high biological oxygen demand during aerobic breakdown of reduced sulphides and nutrient upwelling which is not the case during this event. Nevertheless, DO content in the epilimnion was well oxygenated both during the day and early morning in both lakes. Therefore, the current selective mass mortality of O. niloticus in both lakes is not linked to oxygen depletion as it has been widely thought of the Bishoftu crater lakes (Teshome, 2011). Apparently, all the key water quality parameters were within the optimum range for all species inhabiting the lakes (El-Said, 2006; Popma and Lovshin, 1996; Kirk, 1972; Chervenski and Herring, 1973). However the possibility of increase in pH values during early afternoon is inevitable coupled with the high photosynthetic active radiation (PAR) and the corresponding increase in photosynthetic uptake of CO2 due to the high abundance of phytoplankton during the event which can reach up to 1.2 mg L‑1 of Chl-a concentration (Teshome, 2011). This has obvious consequence on the content of toxic gaseous ammonia which is already above the optimum range in the studied lakes for most tilapia species and certainly increases further with rising pH during early aftrnoon (El-Sherif, 2008).
Several studies have revealed different threshold values for ammonia toxicity of tilapias. Popma and Lovshin (1996) reported that acute toxicity and mass mortality results when concentration of ammonia is higher than 2 mg L-1 although tilapia can survive up to 3 mg L-1 of unionized ammonia concentration for few days if slowly acclimatized; a case in many natural water bodies. Therefore, the apparent high ammonia concentration (2.1 mg L-1) is probably the overriding factor which intoxicates the fish and subsequently cased mass mortalities in Lake Babogaya. Apparently, prolonged exposure to a concentration as high as 0.2 mg L-1 can lead to mass mortality and a concentration of 0.08 mg L-1(which is lower than the 0.1 mg L-1 in Lake Hora-Arsedi) can stress the fish there by predisposing them to bacterial and parasitic infections eventually causing mortalities (Benli et al, 2008). Recent studies by El-Shafey (2008) indicated that threshold values even as low as 0.05 mg L-1 of total ammonium (not the unionized form which should be far lower than this value when calculated at a given pH and temperature) can further stress tilapia species. However, no comparative studies have been done so far to the best of our knowledge on the ammonia tolerance of the other species: Tilapia zilli and Clarias gariepinus, which are considered to be resistant to many diseases and environmental stress (Kirk, 1972).
Histopathological and bacteriological examinations have shown that O. niloticus fish from both lakes were infected by Aeromonas sp.and Plesimonas shigelloides bacteria; and pericardial and gastro intestinal parasites such Contracaecum sp., Clinostomum cutanum and Acanthocephalus sp. Plumb (1997) found that Aeromonas hydrophilia infected fish as secondary infection, whilst Al-Dughaym (2000) reported an increased susceptibility of O. niloticus to Aeromonas infections during an aquaria experiment with water sources from infected natural water bodies compared to controlled aquaria water. In this study, fish were experimentally infected with Aeromonas isolated from fish during mass mortality in which water from the infected natural water contained significantly higher stressive factors such as temperature, pH, alkalinity, hardness and other nutrients. Indeed, a similar scenario has been noted in lakes Babogaya and Hora-Arsedi during the current mortality event as the fish were stressed with elevated ammonia content probably for several weeks which damaged the gills and subsequently made the fish susceptible for bacterial and parasitic infections. Furthermore, O. niloticus fingerlings transported from L. Babogaya to NFALRC ponds (for breeding and growth experiment) exhibits similar mortality rates, while T. zilli fingerlings remained unaffected. Therefore, bacterial and parasitic infection as a result of predisposition due to water quality stress is the overriding and plausible explanation to the current mortality of O. niloticus in the Bishoftu crater lakes.
The possibility of algal toxicity from the dominant bloom of Microcystis aeruginosa has been linked to several mass fish kill events (see review by Singh and Pathak, 2010; Adamovský, 2010), though the effect of cyanotoxins on fish requires highly controlled experiment and thus was not the purpose of this snapshot survey. Nevertheless, live fish samples have shown clinical symptoms such as liver and kidney damage and hemorrhagic shock, similar to that of cyanotoxin induced deaths (Adamovský, 2010), which possibly also contributed to the current mortality incident.
Concluding remark
The current catastrophic mass mortalities of Oreochromis niloticus in Lakes Babogaya and Hora-Arsedi is caused by direct ammonia toxicity and extended sublethal ammonia exposure and subsequent stress induced bacterial and parasitic infection. In addition, other possible factors such as cyanotoxin should be further studied in these lakes. A further comparative ammonia and disease tolerance study on T. zilli and C. gariepinus should explain why these species were not affected by the current incident of mass mortality although they are commonly believed to be highly tolerant to disease and environmental stress.
Author’s contributions
Kibru T., Adamneh D. and Marshet A. contributed considerably during data collection, laboratory analysis of water, plankton and fish samples. Kibru T. also wrote the first draft of the manuscript and constructed the figures. Fasil D. organized the manuscript in according with IJA-guideline. Fasil’s contribution through proof reading, re-writing and correcting the first draft and figures was instrumental during the preparation and submission of this paper. He also handled the submission and all correspondence of the manuscript during the publication process.
Acknowledgments
We appreciate the financial and logistic support of EIAR-National Fisheries and Aquaculture Research Center (NFLARC) during this study. Special thanks to NAHDIC who assisted during laboratory analysis. We also thank Kebede Bereda for safe driving and assistance in handling the field equipment.
Abdelaziz M. A. and Manal M. Z., 2010,Investigation of Mass Mortality Problem of Oreochromis niloticus in Mariotia Channel in Egypt. World Journal of Fish and Marine Sciences 2: 461-470
Abowei J.F.N. and Briyai O.F., 2011, A Review of Some Bacteria Diseases in Africa Culture Fisheries. Asian Journal of Medical Sciences 3: 206-217
Adamovský O., 2010, Bioaccumulation and effects of cyanotoxins in the aquatic environment. Desertation thesis in Environmental Chemistry. Masaryk University, Faculty of Science, Research Centre for Toxic Compounds in the Environment. Brno, Czech Republic
Al-Dughaym A.A., 2000, Recovery and Antibiogram studies of Aeromonas hydrophilia and Pseudomonas florescence from naturally and experimentally infected tilapia fish. Pakistan Journal of Biological Sciences 3: 2185-2187
http://dx.doi.org/10.3923/pjbs.2000.2185.2187
Amin N. E., Abdallah I. S., Faisal M., Easa M. El-S., Alaway T. and Alyan S. A., 1988, Columnaris infection among cultured Nile tilapia Oreochromis niloticus. Antonie Van Leeuwenhoek 54: 509-520
http://dx.doi.org/10.1007/BF00588387
APHA 1998, Standard Methods for the Examination of Water and Wastewater. 20th edn. American Public Health Association, Washington DC
Baxter R.M. and Wood R.B., 1965, Studies on stratification in the Bishoftu crater lakes. J. appl. Ecol. 2: 416
Chellappa N.T., Chellappa S.L. and Chellappa S., 2008, Harmful Phytoplankton Blooms and Fish Mortality in a eutrophicated reservoir of Northeast Brazil. Brazilian archives of Biology and technology 51: 833-841
http://dx.doi.org/10.1590/S1516-89132008000400022
Cherrvensky J. and Herring E., 1973, Tilapia zilli in Sea-water ponds. Bamidgeh, 23: 125-255
Degefu F., Herzig A., Jirsa F. and Schagerl M., 2014a, A limnological snapshot of three, highly threatened tropical high-mountain crater lakes in Ethiopia. Tropical Conservation Science 7: 366-382
El-Sayed A.M., 2006, Tilapia culture in salt water: Environmental requirements, nutritional implications and economic potentials. Eighth Symposium on Advances in Nutritional Aquaculture. Nuevo Leon, Mexico
El-Sherif M. S. and EL-Feky A. M., 2008, Effect of ammonia on Nile Tilapia (O. niloticus) performance and some hematological and histological measures. Eighth International Symposium on Tilapia in Aquaculture. Cairo, Egypt
Fernando C.H., 2002, A Guide to Tropical Freshwater Zooplankton. Identification, Ecology and Impact on Fisheries. Backhuys publisher: Leiden, Netherlands
Kebede E. and Belay A., 1994, Species composition and phytoplankton biomass in a tropical African lake (Lake Awasa, Ethiopia). Hydrobiologia 288: 13-32
http://dx.doi.org/10.1007/BF00006802
Komărek J. and Anagnostidis K., 2005, Freshwater Flora of Central Europe: Cyanoprokaryota 19/2. Elsevier GmbH, München, pp.759
Korovchinsky N.M., 1992, Sididae and Holopedidae: guides to the identification of microinvertebrates of the continental waters of the world. SPB academic publishing, The Netherlands
Löffler H., 1972, Contribution to the limnology of high mountain lakes in Central America. Int. Revue ges. Hydrobiol. 57: 397-408
Löhr A., Bogaard T., Hikes A., Hendriks M., Sumartis S., Bergen vM., Kees CAM., Gestel K., Straalen vN., Vroon P. and Widianarko B., 2005, Natural pollution caused by the extremely acidic crater Lake Kawahljen, East Java, Indonesia. Environ Sci Pollut Res 12: 89-95
http://dx.doi.org/10.1065/espr2004.09.118
Lugg A., 2000, Fish kills in New South Wales. New South Wales: NSW Department of Primary Industries
Melack J.M., 1978, Morphometrical, physical and chemical features of the volcanic crater lakes of western Uganda. Arch. Hydrobiol. 84: 430-453
Meyer F.P. and Barclay L., 1990, A Field Manual for the Investigation of Fish Kills, Federal Government Series: Resource Publication 177
Mohr P.A., 1961, The geology, structure and origin of the Bishoftu explosion crater lakes, Shoa, Ethiopia. Bull. Geophys. Obs., Addis Ababa 2:65-101
NCDWQ, 2000, Annual report of fish kill events. Raleigh, North Carolina: North Carolina Division of Water Quality, USA.
Plumb J. A., 1997, Infectious diseases of tilapia. In Costa-Pierce B.A. and Rakocy J.E. (eds), Tilapia Aquaculture in the Americas. World Aquaculture Society, Baton Rouge, Louisiana, USA. Pp 212-228
Popovsky J. and Pfiester L. A., 1990, Freshwater Flora of Central Europe: Dinophyceae (Dinoflagellida). Gustav Fischer Verlag, Stuttgart: pp. 272
Popma T. J. and Lovshin L. L., 1996, Worldwide Prospects for Commercial Production of Tilapia. International Center for Aquaculture and Aquatic Environments, Department of Fisheries and Allied Aquacultures, Auburn University, Alabama, USA
Prosser M.V., Wood R.B. and Baxter R.M., 1968, The five Bishoftu crater lakes. SINET: Ethiop. J. Sci. 8: 9-29
Singh J. and Pathak R. K., 2010, Toxicological assessment of cyanobacterial toxins. The Bioscan.5: 523-530
Sharma, M. C., Sharma S., Bajracharya M. R., Gurung S., Jüttner I., Kang S. and Zhang Q. Li., 2012, First results on bathymetry and limnology of high-altitude lakes in the Gokyo Valley, Sagarmatha (Everest) National park, Nepal. Limnology 13: 181-192
http://dx.doi.org/10.1007/s10201-011-0366-0
Talling J.F. and Lemoalle J., 1998, Ecological dynamics of tropical inland waters. Cambridge University Press, UK
Tefera G., 1980, A Limnological studies in Lake Chelekleka. SINET: Ethiopian Journal of Sci. 3: 143-152
Teshome K., 2011, The temporal variation in physico-chemical characteristics, planktonic biomass, diversity and primary productivity in Three Crater Lakes in Ethiopia. M.Sc. Thesis, University of Bremen, Bremen, Germany
Wetzel R.G., 2001, Limnology: Lake and River Ecosystems. 3rd edition, Academic Press, N. Y
Whitford L. A. and Schumacher G. J., 1973, A Manual of Freshwater Algae. Sparks Press, Raleigh, NC: pp.324